Предмет: Алгебра,
автор: sashaaazxxcc070
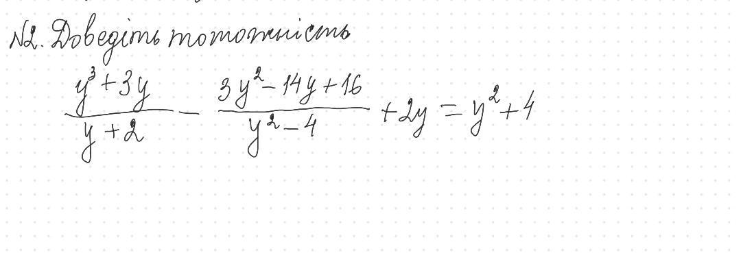
помогите пожалуйста решить тотожность уравнения, даю 40 балов
Приложения:
Ответы
Автор ответа:
1
Ответ:
Объяснение:
решение внизу
Приложения:
sashaaazxxcc070:
спасибо
Похожие вопросы
Предмет: Українська мова,
автор: Аноним
Предмет: История,
автор: Danildrim
Предмет: Алгебра,
автор: timurcmacins
Предмет: Математика,
автор: sayfullinarasima