Предмет: Алгебра,
автор: Lokpit750
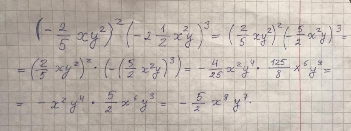
спростіть вираз (- 2/5 * x * y ^ 2) ^ 2 * (- 2 1/2 * x ^ 2 * y) ^ 3
Ответы
Автор ответа:
2
Решение в фотографии
Приложения:
Похожие вопросы
Предмет: География,
автор: hzz46
Предмет: Английский язык,
автор: artemshyba
Предмет: Химия,
автор: arinapopova2602
Предмет: Математика,
автор: Аноним
Предмет: Русский язык,
автор: ikkekgg