Предмет: Алгебра,
автор: daratatar10
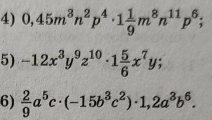
помогите пожалуйста
Приложения:
Ответы
Автор ответа:
1
Объяснение:
Если у тебя основания одинаковые, то ты складывает степени
Приложения:
daratatar10:
спасибо
не за что
Похожие вопросы
Предмет: Геометрия,
автор: milanaprykhodko7
Предмет: Математика,
автор: qafarzadee56
Предмет: Английский язык,
автор: FirePain
Предмет: Химия,
автор: Svetmayer975
Предмет: Русский язык,
автор: sergei12377