Предмет: Геометрия,
автор: Galiuk
помогите взавтра у меня екзамен:::::: Обчислить плошу фигури обмеженой параболи у=х-3х+4 и прямою у=4-х ребята я вас просю помогите мне сейчас
Ответы
Автор ответа:
0
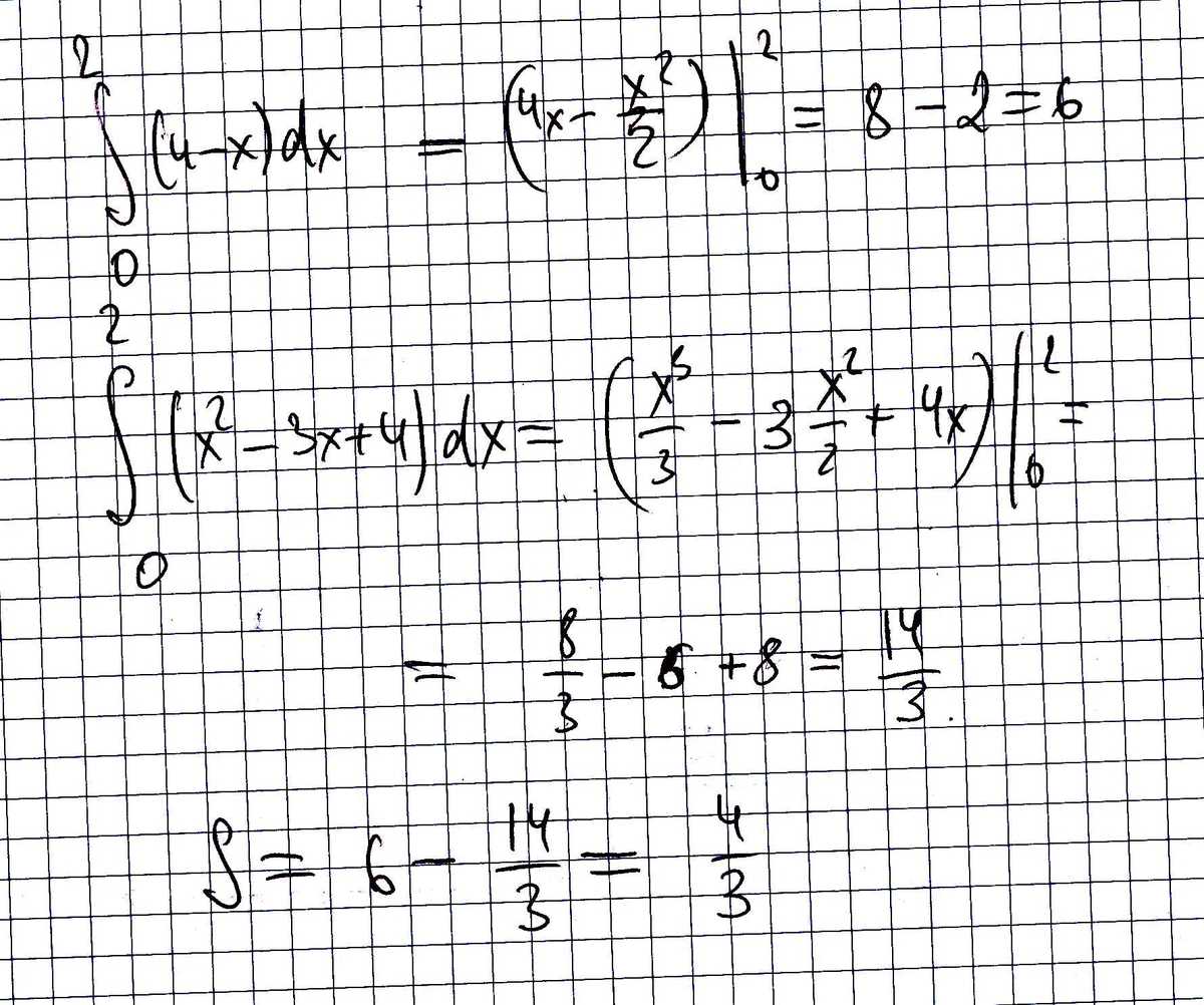
Надо вычислить площадь фигуры, заштрихованной на чертеже.
Парабола y = х^2 - 3*х + 4; прямая y = 4 - x;
пересекаются в точках x = 0 и 2 (просто приравниваем х^2 - 3*х + 4 = 4 - х, и сразу это получаем).
Дальше решние на втором рисунке. Площадь 4/3
Приложения:
Похожие вопросы
Предмет: Математика,
автор: mikitiiiura
Предмет: Математика,
автор: danilkirami
Предмет: Английский язык,
автор: Аноним
Предмет: Алгебра,
автор: Darter
Предмет: География,
автор: Loginech