Предмет: Алгебра, автор: kucikula261

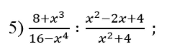
8+x³/16-x⁴ : x²-2x+4/x²+4
помогите пожалуйста ​

Приложения:

Ответы

Автор ответа: жжджжд
1
=2^3+x^3/4-x^2 * 1/x^2-2x+4= (2+x)(4-2x+x^2)/4-x^2 * 1/x^2-2x+4= 2+x/(2-x)(2+x)=1/2-x
Автор ответа: CrissWen
0

Ответ:

 \frac{8x +  x {}^{3}  }{ - x {}^{4 }  + 2x {}^{3}  - 8x + 16}

Приложения:
Похожие вопросы
Предмет: Информатика, автор: Аноним
Задача. 25.04.2023 пожалуйста.
1. Відкрийте вікно середовища розробки.
2. Уведіть фрагмент проєкту, наведений на зображеннях (вони є).
3. Збережіть проєкт у папці з іменем Вправа 6.11, створеній у вашій папці.
4. Запустіть проєкт на виконання.
5. Уведіть для тестування проєкту набір вхідних даних, для якого команди тіла
циклу не виконуватимуться жодного разу, наприклад, x = 1000, p = 20, a = 500.
6. Проаналізуйте результат виконання проєкту та порівняйте його з очікуваним.
7. Уведіть для тестування проєкту набір вхідних даних, щоб команди тіла цик-
лу виконувалися 1 раз. Запишіть його в зошит.
8. Проаналізуйте результат виконання проєкту та порівняйте його з очікуваним.
9. Виконайте проєкт ще для 2–3 наборів вхідних даних. Запишіть у зошит ці
набори та відповідні результати виконання проєкту.
10. Закрийте всі відкриті вікна. СРОЧНО! Пожалуйста.
Предмет: Математика, автор: zapasnayapochtaradki