Предмет: Алгебра,
автор: angelinagejko2
как решить пример

СРОЧНО
Ответы
Автор ответа:
1
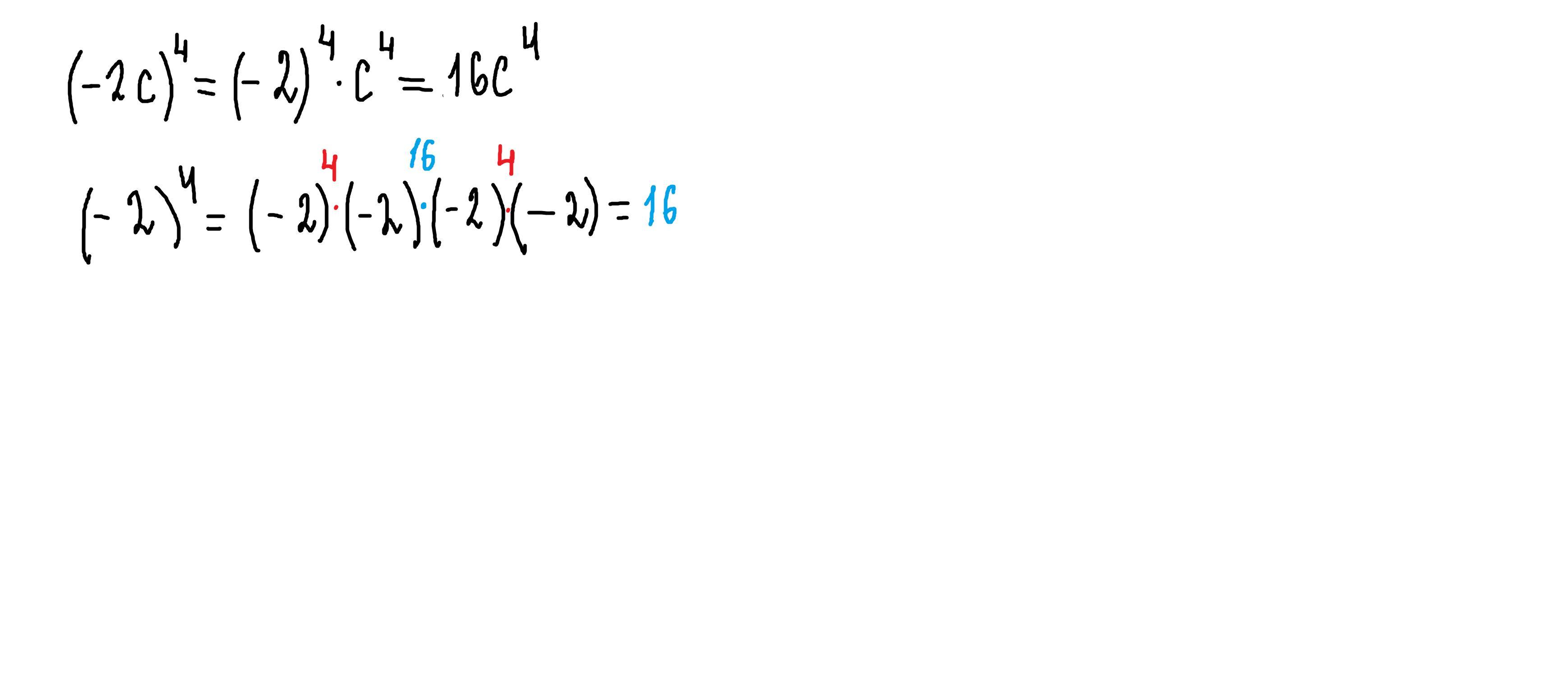
Ответ:
Объяснение:
решение внизу
Приложения:
Похожие вопросы
Предмет: Геометрия,
автор: katyxa32
Предмет: Физика,
автор: gintonikwtf
Предмет: Биология,
автор: paranchykdiana
Предмет: Английский язык,
автор: liltema13
Предмет: Русский язык,
автор: Plis31