Предмет: Алгебра,
автор: nazshvets
Дам 100 балів Срочнооооооооооооооо
Номер 266 робити не потрібно
Приложения:
medvedevbogdae:
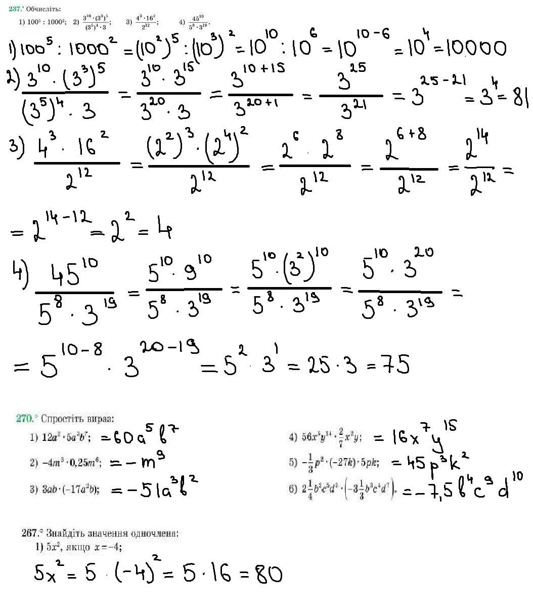
№237
Ответы
Автор ответа:
1
Ответ:
Объяснение:
Решение в файле
Приложения:
Похожие вопросы
Предмет: Физика,
автор: Ghost855
Предмет: Українська мова,
автор: Аноним
Предмет: Українська мова,
автор: bdbdgsbs4
Предмет: Английский язык,
автор: Lastly50