Предмет: Математика,
автор: anastasiadruz403
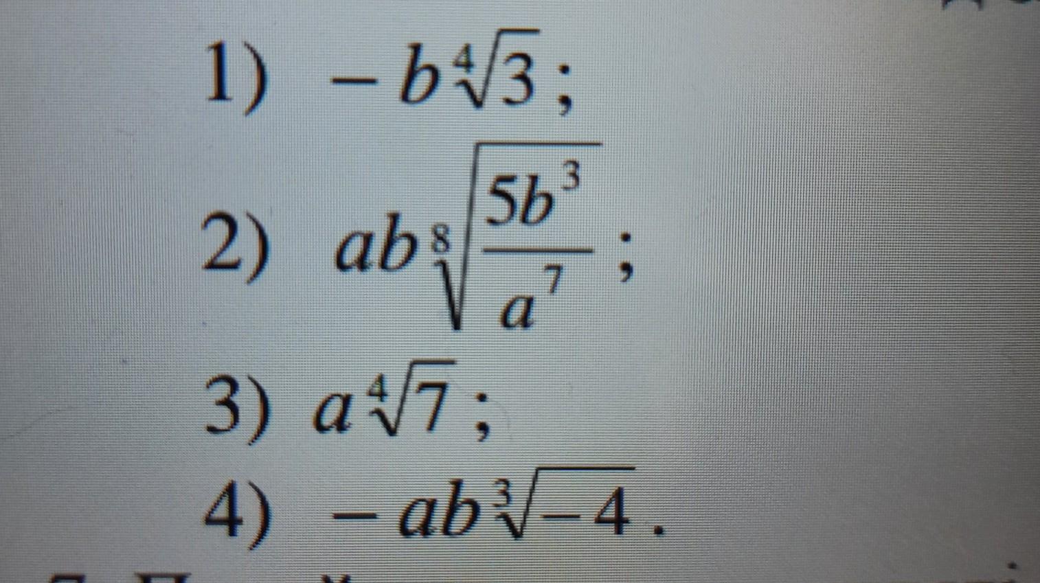
6. Внесіть множники під знак кореня
дуууужееее срочно допоможіть будь-ласочка
Приложения:
Ответы
Автор ответа:
1
Пошаговое объяснение:
1) -b⁴√3
⁴√3b
2) b⁸√5ab³
3) 4√7a
4) 3√4ab
Похожие вопросы
Предмет: Физика,
автор: katya3823
Предмет: Қазақ тiлi,
автор: sabinaalhanova20
Предмет: Математика,
автор: Аноним
Предмет: Українська мова,
автор: GarisPlay2003
Предмет: Русский язык,
автор: hkhusnutdinov