Предмет: Математика, автор: aydanismayilli499

с решением (срочно!!)​

Приложения:

Ответы

Автор ответа: Pavecenko808
0

Ответ:

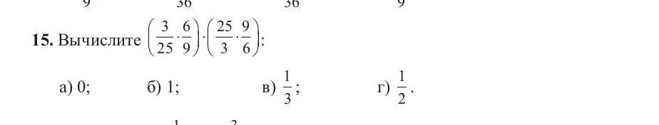
Правильна відповідь - б) 1

Пошаговое объяснение:

( \frac{3}{25}  \times  \frac{6}{9} ) \times ( \frac{25}{3}  \times  \frac{9}{6} ) =  1\\ 1) \frac{3}{25} \times  \frac{6}{9}  =  \frac{1 \times 6}{25 \times 3}  =  \frac{6}{75}  \\ 2) \frac{25}{3}  \times  \frac{9}{6} =  \frac{25 \times 3}{1 \times 6} =  \frac{75}{6}  = 12 \frac{1}{2}  \\ 3) \frac{6}{75}  \times 12 \frac{1}{2}  =  \frac{6}{75}  \times  \frac{25}{2} =  1

Отже правильною відповіддю буде - б) 1

Похожие вопросы