Предмет: Алгебра,
автор: hdhdhhdhdhdkk
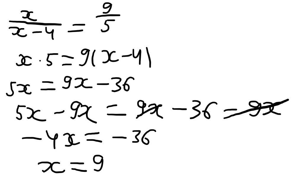
знайти корені рівняння х/х-4=9/5
СРООЧНОООО!!!!
Ответы
Автор ответа:
1
Відповідь на малюнку.
Приложения:
zahyoushart11:
Пояснення: перемножуємо чисельник першого дробу на знаменник другого дробу і так само чисельник другого дробу на знаменник першого дробу.
Буду радий якщо поставите найкращу відповідь)
спасибо большое)))
Похожие вопросы
Предмет: Биология,
автор: erikcemenyk
Предмет: Українська література,
автор: yankelovdm
Предмет: Математика,
автор: maria20105
Предмет: Русский язык,
автор: Werstak18
Предмет: Английский язык,
автор: marinakozyreva230