Предмет: Алгебра, автор: Pulitzer

ДОПОМОЖІТЬ ДУЖЕ ТЕРМІНОВО, БУДУ ВДЯЧНИЙ ЗА ПОЯСНЕННЯ!!!

Приложения:

Ответы

Автор ответа: aarr04594
1

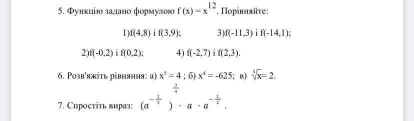
Відповідь: розв'язання завдання додаю

Приложения:

Pulitzer: Дуже Вам вдячний!
Pulitzer: Цілий день не можу це вирішити
aarr04594: Ну такі умови, такі обставини...
Похожие вопросы
Предмет: История, автор: bohdanamal
Предмет: Алгебра, автор: naronia
Предмет: Русский язык, автор: Sanq31
ПОЖАЛУЙСТА, ОЧЕНЬ СРОЧНО
ОТДАМ ВСЕ БАЛЛЫ ЧТО ЕСТЬ

1. Какое предложение осложнено обращением? (Знаки препинания не расставлены)
1.Деревья их не с чем сравнить!
2.Правда и этим летом мало что изменилось в доме.
3.Я рад тебе как другу юных лет.
4.Дорогие выпускники нам жаль расставаться с вами.

2.Укажите, чем выражено обращение в предложении (Знаки препинания не расставлены): Ты всё та же моя нежная в этом синем платьице
1.существительным
2.прилагательным
3.словосочетанием
4.местоимением

3.Выпишите все цифры, обозначающие запятые при обращении (без запятых и пробелов): Не шутку шутить (1) не людей смешить (2) к тебе вышел я (3) теперь (4) басурманский сын.

4.Укажите значение вводного словосочетания в предложении: К сожалению, бабушка моя так и не написала своих воспоминаний
1.чувство говорящего
2.предположение
3.источник высказывания
4.порядок мыслей

5.Определите, в каком предложении выделенное слово (сочетание слов) является вводным. (знаки препинания не расставлены)
1.Он МОЖЕТ БЫТЬ первым в своём деле если постарается.
2.ПО ПРАВДЕ СКАЗАТЬ ему было безразлично где жить.
3.Он ВРЯД ЛИ пытался искать нас.
4.Кто ИМЕННО собирается прийти?

6.Укажите номер предложения, осложненного вводным предложением.
1.Знаете ли вы, например, какое наслаждение - выехать весной до зари?
2.Сейчас, как рассказывали, должен быть бревенчатый мостик, а потом уже домик.
3.Местность, к сожалению, безлюдная.
4.Я, впрочем, сам был виноват.

7.Укажите предложение с вводной конструкцией, входящей в состав обособленного определения.
1.Человек, живущий долго, ко всему привыкает.
2.Трудно представить, где укрываются застигнутый пургой, быть может обречённые на гибель, крылатые смелые вестники весны.
3.Старик Колиной улыбки не заметил, а то бы обиделся.
4.Штатский старичок столкнулся с ним на лестнице и посторонился, любуясь незнакомой ему Кити.

8.Из приведённого ниже предложения выпишите все цифры (без запятых и пробелов), обозначающие запятые при вводном предложении: Вот мы и возле еловой заросли (1) за которой (2) как нам казалось (3) метрах в двухстах (4) собаки в страшной схватке держали зверя.

9.Выпишите все цифры (без запятых и пробелов), на месте которых в предложении должны стоять запятые: Я (1) может быть (2) был впервые знаком с таким человеком. Но мне почему-то (3) кажется (4) что я видел его уже много раз.

10.Определите, в каком предложении есть одновременно и обращение, и вводное слово (Знаки препинания не расставлены).
1Ты верно Моцарт чем-нибудь расстроен?
2Пушкин по его собственным словам каждую осень расцветал вновь.
3Не шуми осина не пыли дорога.
4Сухие листья под тусклым ветром что говорят нам шепчут что?

11. В каком предложении допущена пунктуационная ошибка?
1Сидишь, бывало, на реке с удочкой, за сто шагов - ни души.
2Бывало так, что мы опаздывали к поезду.
3Рыбалки неповторимы так же, как например шахматные партии и футбольные матчи.
4.Однако и у папы, и у Бунина были одинаковые стальные пенсне на длинных чёрных шнурках.

РАБОТА С ТЕКСТОМ

12. Выпишите вводное слово (словосочетание) из предложения 3. Ответ запишите с МАЛЕНЬКОЙ буквы.
13.Укажите значение этого вводного слова (из предложения 3). Ответ запишите с МАЛЕНЬКОЙ буквы.
14.Укажите номер предложения, в котором вводное слово имеет значение "порядок изложения, связь мыслей"
15.Укажите количество вводных слов (словосочетаний) в тексте.(4 фото)
16.Определите в каком предложении есть обращение. Укажите номер этого предложения
17.Какой частью речи выражено обращение? (запишите словами, без сокращений с МАЛЕНЬКОЙ буквы)