Предмет: Алгебра,
автор: MrBit
!!!!СРОЧНО !!!!! ЗАДАНИЕ ИЗ ТЕСТА
Приложения:
Simba2017:
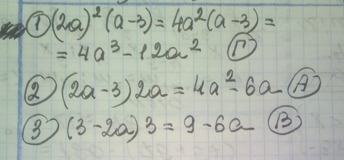
1-г
2-а
3-в
Ответы
Автор ответа:
1
Ответ:
решение смотри на фотографии
Приложения:
Похожие вопросы
Предмет: Математика,
автор: malikaali201202
Предмет: Геометрия,
автор: vladsamoluk8
Предмет: Алгебра,
автор: vladiss1807
Предмет: Обществознание,
автор: proninadarina