Предмет: Алгебра,
автор: PaintNavernoe
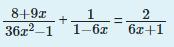
Розв’язати рівняння
виберіть одну з відповідей на другому фото
Приложения:
Ответы
Автор ответа:
1
Ответ:
-1. ну короче так.........
Похожие вопросы
Предмет: Английский язык,
автор: tehnikakz179
Предмет: Математика,
автор: lia453702
Предмет: Информатика,
автор: rettyyyyyyy237363
Предмет: Биология,
автор: vhazov
Предмет: География,
автор: OlshMari