Предмет: Математика,
автор: nastya4568df
Потрібна допомога, будь ласка
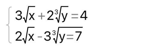
Розв‘яжіть систему рівнянь:
Приложения:
Ответы
Автор ответа:
1
Ответ:
Пошаговое объяснение:
Решим систему методом сложения
Первое уравнение умножим на 3 а второе на 2
9√x+6∛y=12
4√x-6∛y=14
сложим оба уравнения
9√x+6∛y+4√x-6∛y=12+14
13√x=26
√x=26/13
√x=2
x=2²=4 ; √x=2 подставим в первое уравнение
3√x+2∛y=4
3*2+2∛y=4
6+2∛y=4
2∛y=4-6
2∛y=-2
∛y=-2/1
y=-1
Ответ х=4 ; y=-1
Проверка
3√x+2∛y=4
2√x-3∛y=7
3*2+2∛-1=6-2=4
2*2-3∛-1=4+3=7
Похожие вопросы
Предмет: Химия,
автор: zhasulan30072006
Предмет: Қазақ тiлi,
автор: ivanovaveorika197
Предмет: Английский язык,
автор: ruzana177
Предмет: Английский язык,
автор: myatnayakonfetka22
Предмет: Математика,
автор: Olegator258