Предмет: Алгебра,
автор: irkinbaev
даю 100 баллов!!!!!!!!!
Приложения:
Ответы
Автор ответа:
0
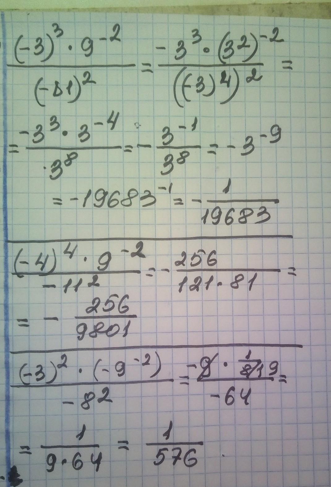
Ответ:
решение смотри на фотографии
Приложения:
Похожие вопросы
Предмет: Русский язык,
автор: 228belyashik228
Предмет: Геометрия,
автор: kyleshova027
Предмет: История,
автор: Аноним
Предмет: История,
автор: fedorovgrisa233
Предмет: Физика,
автор: anastasiya20053665