Предмет: Алгебра,
автор: olgggavolnaja
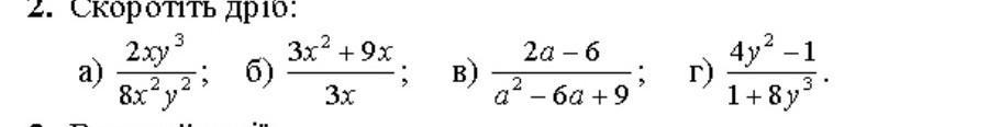
2. Скоротіть дріб:....фото
Приложения:
Ответы
Автор ответа:
1
можно лучший ответ?)
Приложения:
Похожие вопросы
Предмет: Математика,
автор: yusifehmedov2018
Предмет: Математика,
автор: kalinin220220
Предмет: Оʻzbek tili,
автор: muhitdinovalola365
Предмет: Алгебра,
автор: panas1501