Предмет: Физика,
автор: ms1740975
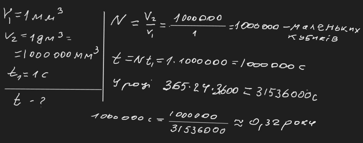
5. Скільки потрібно часу (років), щоб укласти в один ряд кубики об'ємом 1мм3 кожний, узятих у такій кількості, скільки їх є в 1дм3, якщо на укладання одного кубика потрібна 1 секунда? срочно даю 100 Балов
Ответы
Автор ответа:
1
Відповідь: ≈ 0,32 років
Пояснення:
Приложения:
Похожие вопросы
Предмет: Английский язык,
автор: mylittlelove12
Предмет: Математика,
автор: nekonamim
Предмет: Физика,
автор: pukasvadim1524
Предмет: Алгебра,
автор: Аноним
Предмет: Русский язык,
автор: lnl55839