Предмет: Алгебра,
автор: Alexander02029
помогите пожалуйста заплачу 35
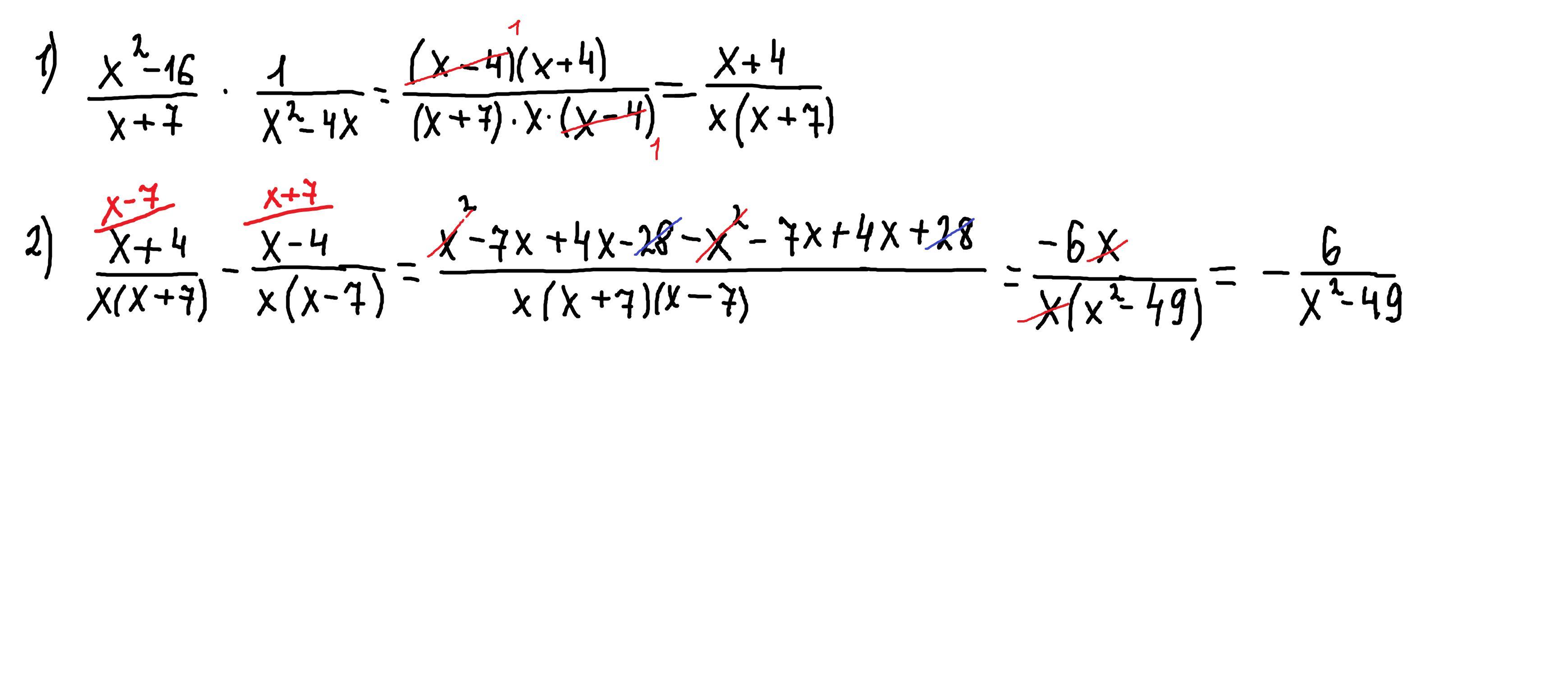
номер 1 Упростите выражение, Выполнять по действиям
Приложения:
Ответы
Автор ответа:
1
Ответ:
Объяснение:
решение по действиям внизу
Приложения:
Alexander02029:
спасибо
пожалуйста
Похожие вопросы
Предмет: Химия,
автор: dsemenets7
Предмет: География,
автор: asyashpak34
Предмет: Информатика,
автор: arinazamirbekova
Предмет: Обществознание,
автор: Pigeon1458
Предмет: Русский язык,
автор: EASergiyenko2659