Предмет: Алгебра,
автор: unolipton8
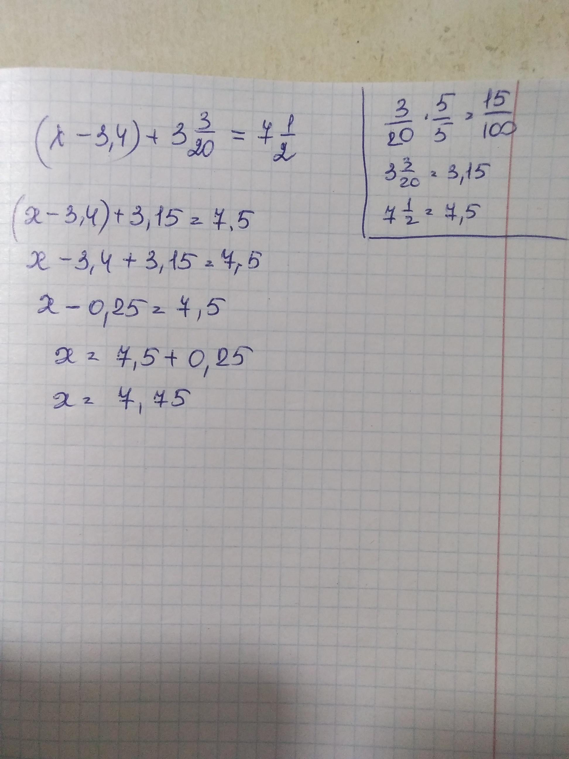
(x-3,4)+3 3/20=7 1/2
ПОМОГИТЕ ПОЖАЛУСТАЮ ДАЮ 10 БАЛОВВ
Ответы
Автор ответа:
2
Смотри..........................
Приложения:
Автор ответа:
1
Ответ:
Объяснение:
........
Приложения:
Похожие вопросы
Предмет: Математика,
автор: chulichkovadasha
Предмет: Математика,
автор: zhanik2022
Предмет: Биология,
автор: vlad099771
Предмет: Музыка,
автор: kedotimofej
Предмет: Алгебра,
автор: sw0l17