Предмет: Физика,
автор: rostik3310
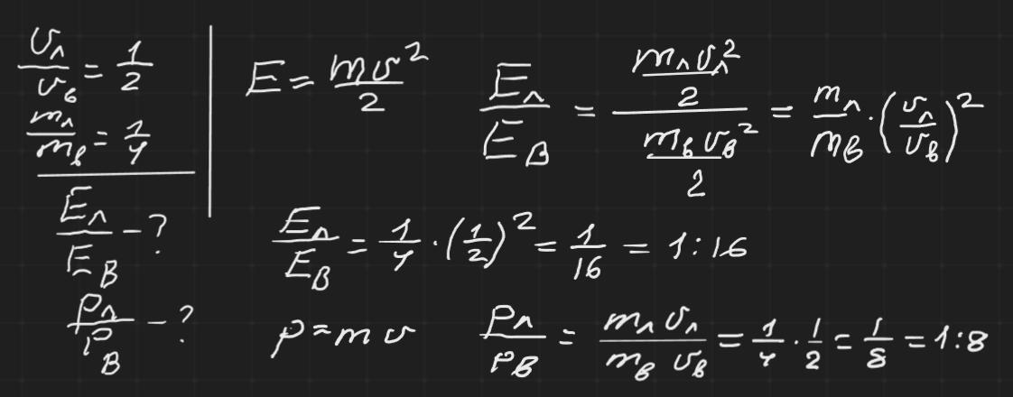
Швидкість вантажного автомобіля в 2 рази більше швидкості
легкового, а маса вантажного автомобіля в 4 рази більше маси
легкового. Порівняйте значення кінетичної енергії легкового та
вантажного автомобілів ( Ел : Ев)?
За умовами попередньої задачі порівняйте значення імпульсів легкового
та вантажного автомобілів
Ответы
Автор ответа:
1
Відповідь: Див. додаток
Пояснення:
Приложения:
Похожие вопросы
Предмет: Русский язык,
автор: vorovs28
Предмет: География,
автор: 0957851360lena
Предмет: Математика,
автор: gavrisanna0
Предмет: Українська мова,
автор: demkobogdana89
Предмет: Обществознание,
автор: barabasa898