Предмет: Математика, автор: digolsveta4

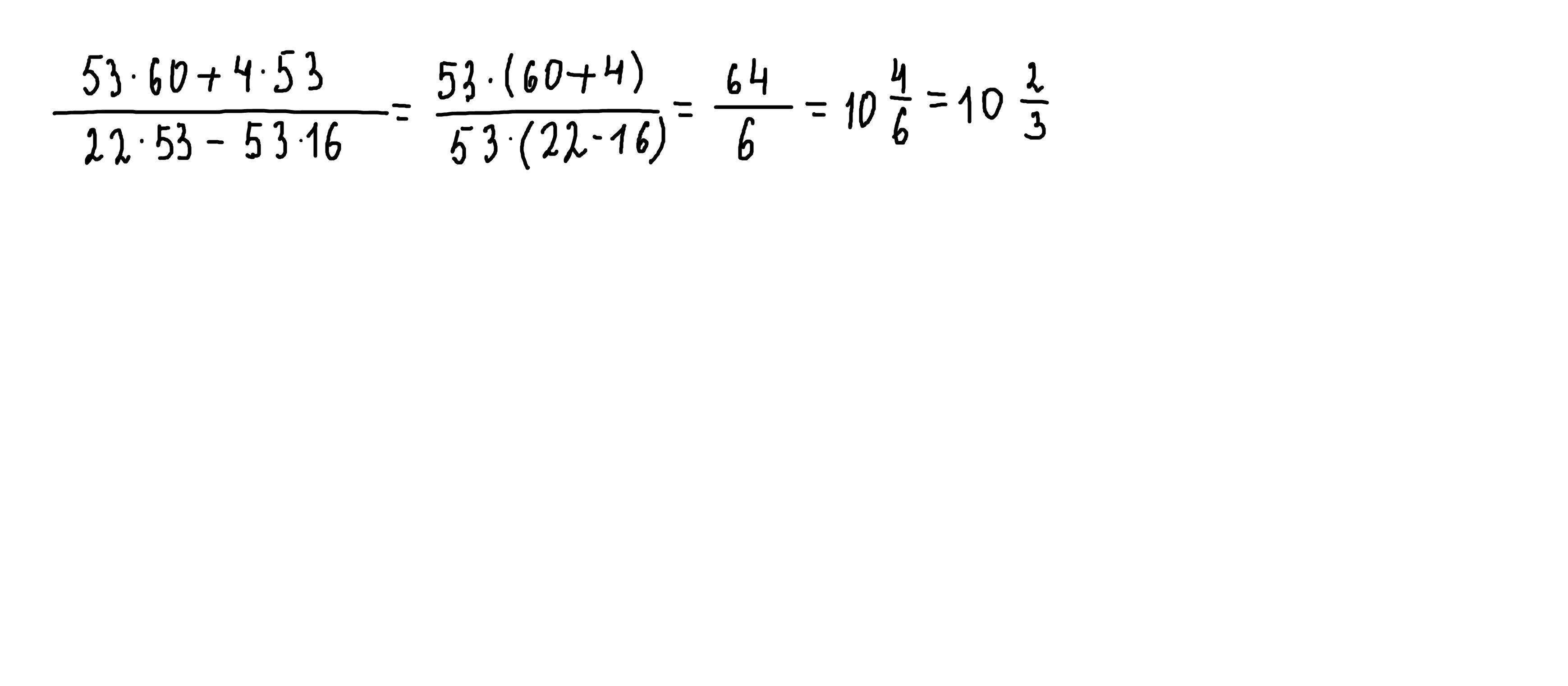
Пользуетесь распределительными свойствами умножение. 53*60+4*53
----------------- =
22*53-53*16

Ответы

Автор ответа: tatsach
1

Ответ:

Пошаговое объяснение:

Приложения:
Автор ответа: parus77
1

Ответ:

10 2/3

Пошаговое объяснение:

решение внизу

Приложения:
Похожие вопросы
Предмет: ОБЖ, автор: Аноним
Вопрос № 11
Заключение по результатам медицинского освидетельствования о категории годности к военной службе, обозначенное буквой "А", соответствует формулировке:

не годен к военной службе
годен к военной службе
ограниченно годен к военной службе
временно не годен к военной службе
Вопрос № 12
Заключение по результатам медицинского освидетельствования о категории годности к военной службе, обозначенное буквой "Б", соответствует формулировке:

не годен к военной службе
годен к военной службе
ограниченно годен к военной службе
годен к военной службе с незначительными ограничениями
Вопрос № 13
Увольнение с военной службы - это:

регулярный отдых, предоставляемый в соответствии с законодательством всем военнослужащим
краткосрочный отпуск из расположения воинской части
установленное законом освобождение от дальнейшего несения службы в рядах Вооружённых Сил РФ, других войсках, воинских формированиях и органах
Вопрос № 14
До какого возраста могут пребывать в запасе Вооружённых Сил РФ солдаты, матросы, сержанты и старшины?

до 35 лет
до 40 лет
до 45 лет
до 50 лет
Вопрос № 15
Каким законом определены права, свободы, обязанности и ответственность военнослужащих?

Федеральным законом "Об обороне"
Федеральным законом "О воинской обязанности и военной службе"
Федеральным законом "О статусе военнослужащих"
Федеральным законом "О мобилизационной подготовке и мобилизации в Российской Федерации
Вопрос № 16
Что является непременным условием для реализации права на замену военной службы альтернативной гражданской службой?

желание близких родственников
наличие двух и более детей
наличие ребёнка-инвалида в возрасте до трёх лет
противоречие несения военной службы убеждениям или вероисповеданию, а также другие случаи, установленные федеральным законом
устойчивое нежелание выполнять обязанности военной службы
Вопрос № 17
Уставы Вооружённых Сил РФ подразделяются:

на боевые и строевые
на боевые и общевоинские
на боевые, строевые, тактические и гарнизонные
на дисциплинарные и строевые
Вопрос № 18
Боевые уставы Вооружённых Сил РФ содержат:

описание способов передвижения военнослужащих на поле боя
правила, определяющие порядок действий при внезапном нападении противника
теоретические положения и практические рекомендации по использованию войск в бою
Вопрос № 19
Права и обязанности военнослужащих Вооружённых Сил РФ, взаимоотношения между ними, правила внутреннего распорядка определяет:

Устав внутренней службы Вооружённых Сил РФ
Устав гарнизонной и караульной служб Вооружённых Сил РФ
Дисциплинарный устав Вооружённых Сил Российской Федерации
Строевой устав Вооружённых Сил Российской Федерации
Вопрос № 20
Виды поощрений и взысканий, права командиров по их применению, порядок подачи и рассмотрения обращений (предложений, заявлений и жалоб) определяет:

Строевой устав Вооружённых Сил Российской Федерации
Дисциплинарный устав Вооружённых Сил Российской Федерации
Устав гарнизонной и караульной служб Вооружённых Сил РФ
Устав внутренней службы Вооружённых Сил РФ