Предмет: Алгебра,
автор: gtalex82
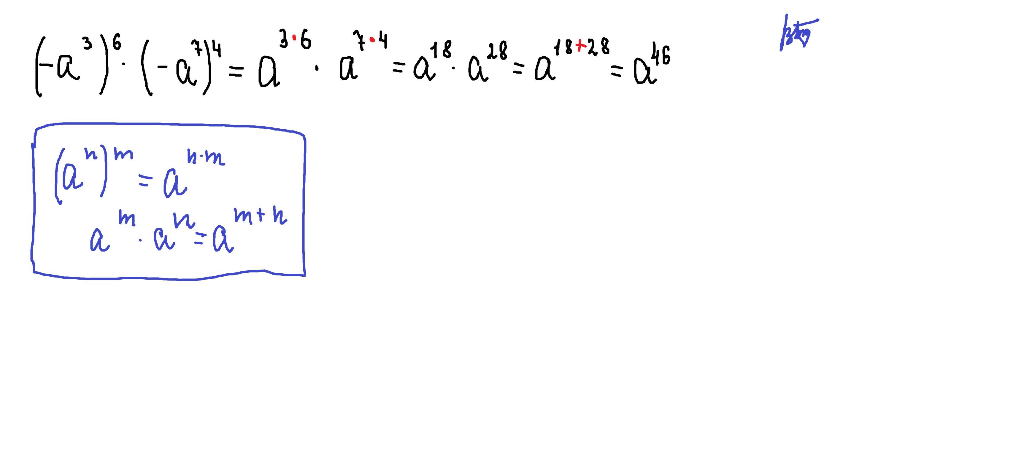
Спростіть вираз (-а3)6∙(-а7)4
Виберіть одну відповідь:
-а46
а46
а20
-а20
Ответы
Автор ответа:
1
Ответ:
а⁴⁶
Объяснение:
отрицательное основание в четной степени будет положительным
Приложения:
Автор ответа:
0
Ответ:
решение на фотке -а⁴⁶
Объяснение:
удачи тебе
Приложения:
Похожие вопросы
Предмет: Физика,
автор: zahararkovoj
Предмет: История,
автор: spasofia
Предмет: Русский язык,
автор: zhumagulova0805
Предмет: История,
автор: Kuzhakov2019
Предмет: Другие предметы,
автор: ksusapasuta27