Предмет: Математика,
автор: Аноним
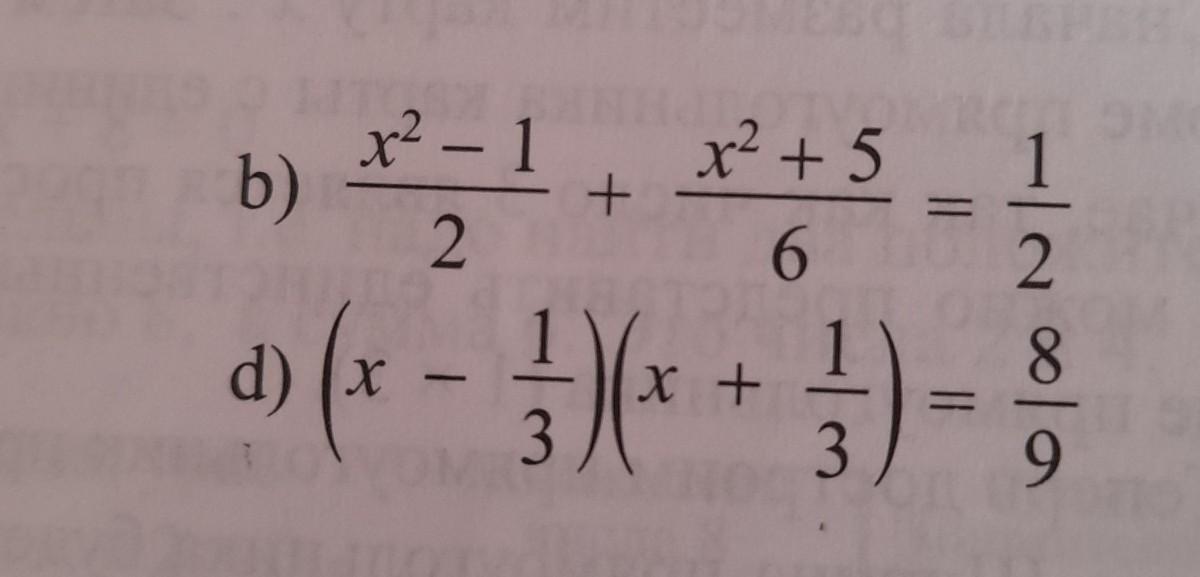
Решите уравнение. дам 60 балов
Приложения:
Ответы
Автор ответа:
0
Ответ:
решение смотри на фотографии
Приложения:
Автор ответа:
0
Ответ:
b)x¹=-1/2,d)x²=1/2,'
Похожие вопросы
Предмет: Алгебра,
автор: marina835740
Предмет: Русский язык,
автор: melisoverbol2012
Предмет: Литература,
автор: zhanarzhumanova2001
Предмет: Русский язык,
автор: k434629
Предмет: Математика,
автор: veronikabaina30