Предмет: Алгебра,
автор: micentik
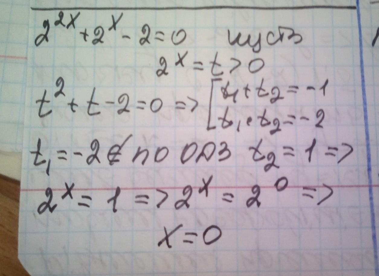
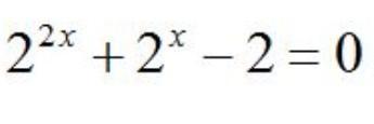
Показательные уравнения. Нужно решение с объяснением. Скрин из photomath не катит :)
Приложения:
Ответы
Автор ответа:
1
Ответ:
решение смотри на фотографии
Приложения:
micentik:
В ответе должно быть x = 0
уже все в порядке, х=0
спасибо)
Похожие вопросы
Предмет: Алгебра,
автор: ranojumaeva62
Предмет: Английский язык,
автор: zaraurazalieva655
Предмет: Физика,
автор: shadowkarim3001
Предмет: Литература,
автор: GoldBeretta1
Предмет: Геометрия,
автор: viktoria6088