Предмет: Алгебра,
автор: vikipe21
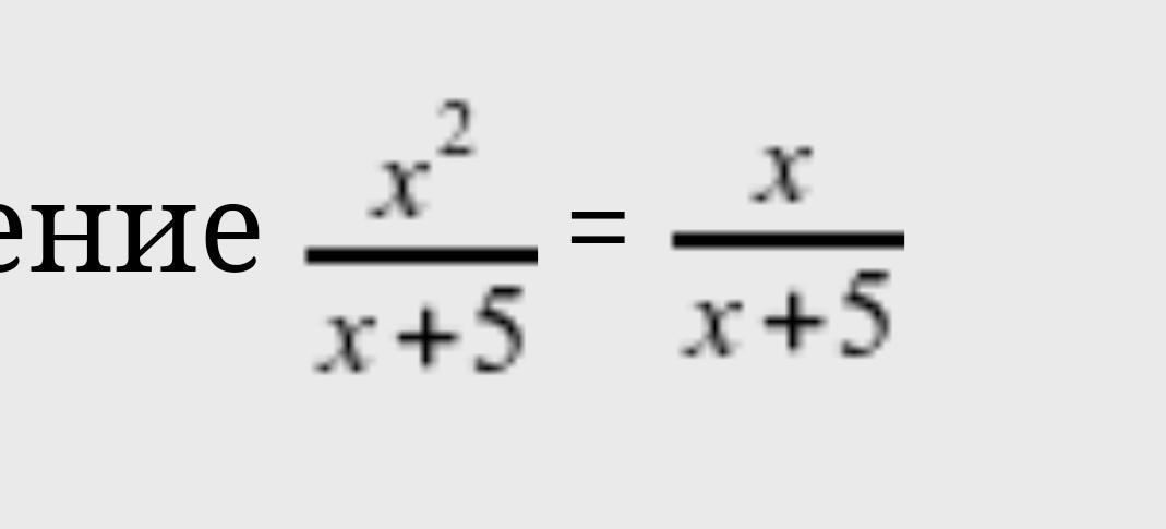
ПОМОГИТЕ ПОЖАЛУЙСТА РЕШИТЬ УРАВНЕНИЕ
Приложения:
Ответы
Автор ответа:
0
Ответ:
вверху x
снизу 10
Объяснение:
х
-
10
вот так
Похожие вопросы
Предмет: Математика,
автор: pizdeciapidor
Предмет: Литература,
автор: elizavetagura536
Предмет: Химия,
автор: skrabinaroslav05
Предмет: Немецкий язык,
автор: denuckot22
Предмет: Литература,
автор: VegasBRDM