Предмет: Алгебра,
автор: golodnuypogerately
Решите примеры
тут я просто заполняю 20 символов
Приложения:
Ответы
Автор ответа:
1
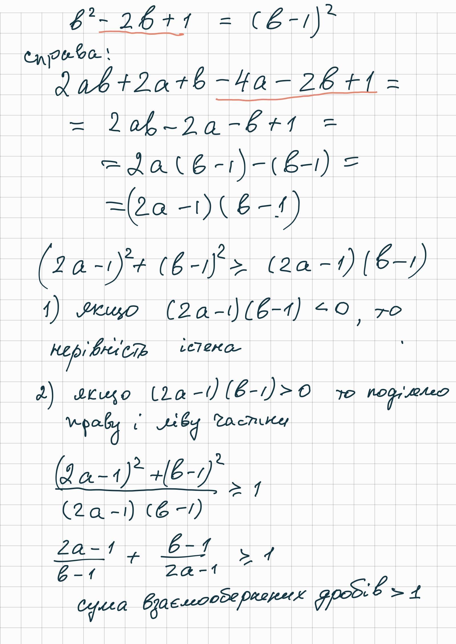
Відповідь:
Пояснення:
Приложения:
Похожие вопросы
Предмет: Математика,
автор: streetfoodest2018
Предмет: Українська мова,
автор: evgenpotapov22
Предмет: Математика,
автор: labivkasofia
Предмет: Математика,
автор: haleksandr7314
Предмет: Математика,
автор: svetlanamuhutdinova8