Предмет: Алгебра,
автор: deadinsaidichik
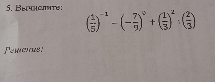
пожалуйста срочно надо
Приложения:
Ответы
Автор ответа:
0
Ответ:
вроде правильно, но ты лучше перепроверь
Приложения:
Похожие вопросы
Предмет: Русский язык,
автор: tabaldieverbol
Предмет: Математика,
автор: anyaua84
Предмет: Биология,
автор: ololppi
Предмет: Алгебра,
автор: younghomeboy
Предмет: Математика,
автор: za5647056