Предмет: Алгебра,
автор: yegorpp
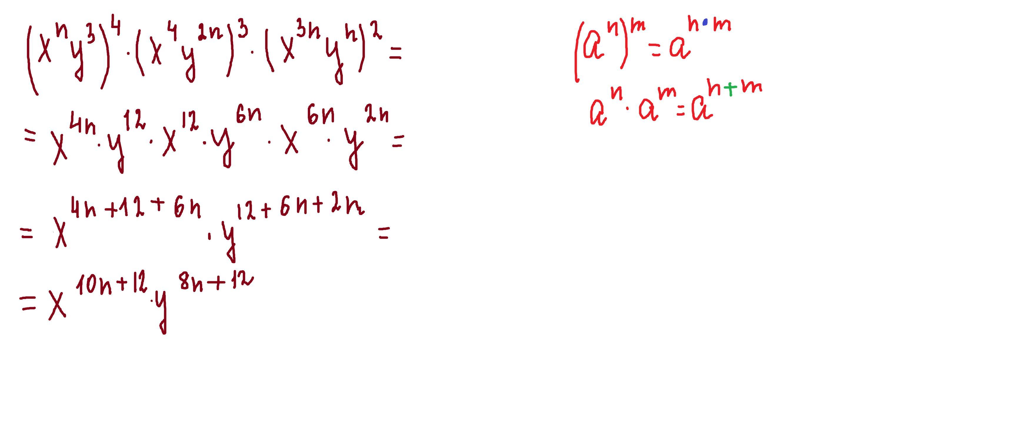
Срочно!! пожалуйста!! (x^n y^3)^4 * (x^4 y^2n)^3 * (x^3n y^n)^2
Ответы
Автор ответа:
1
Ответ:
Объяснение:
применяем св-ва степеней
Приложения:
yegorpp:
лучшая
Похожие вопросы
Предмет: Оʻzbek tili,
автор: dilora91
Предмет: Геометрия,
автор: mockyminecraft
Предмет: География,
автор: 20161960100327o
Предмет: Геометрия,
автор: Lilemmays
Предмет: Алгебра,
автор: DJABRAIL11111