Предмет: Алгебра,
автор: danamogileva1
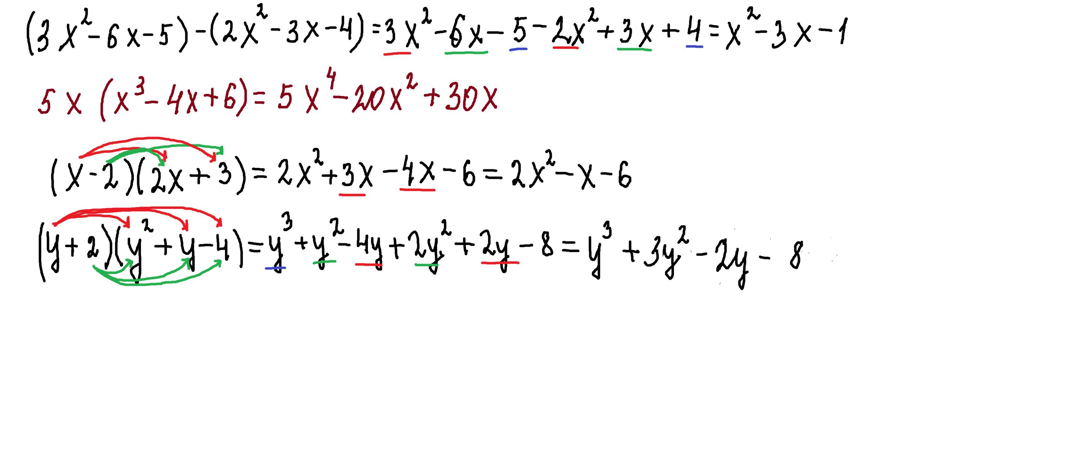
Преобразите в многочлен стандартного вида выражения
Приложения:
PolovnikSA:
Не мог бы ты ответить решение, как лучшим?
Ответы
Автор ответа:
0
Ответ:
Объяснение:
решение внизу
Приложения:
Похожие вопросы
Предмет: География,
автор: nikadominika378
Предмет: Қазақ тiлi,
автор: liorakasyanova
Предмет: Математика,
автор: anzelikasikareva032
Предмет: Английский язык,
автор: Аноним