Предмет: Алгебра,
автор: Sjnzjzjsjz
Помогите пожалуйста!!!!
Приложения:
Ответы
Автор ответа:
1
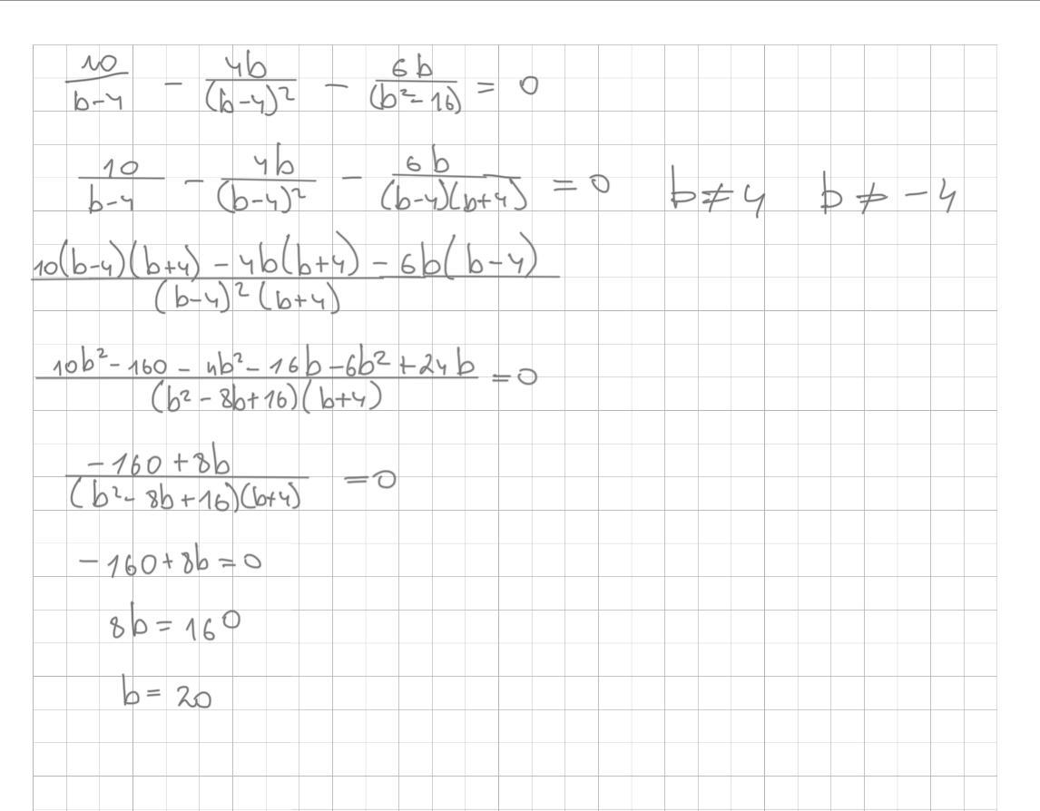
Ответ b=20
Объяснение: на фото
Приложения:
Похожие вопросы
Предмет: Українська мова,
автор: grishenkovadim733
Предмет: Литература,
автор: illaromanov06660
Предмет: Алгебра,
автор: Аноним
Предмет: Биология,
автор: mat4inaan