Предмет: Математика, автор: arsenmarchenkoig

Зробити рівняння на картинці

Приложения:

Ответы

Автор ответа: manyny06
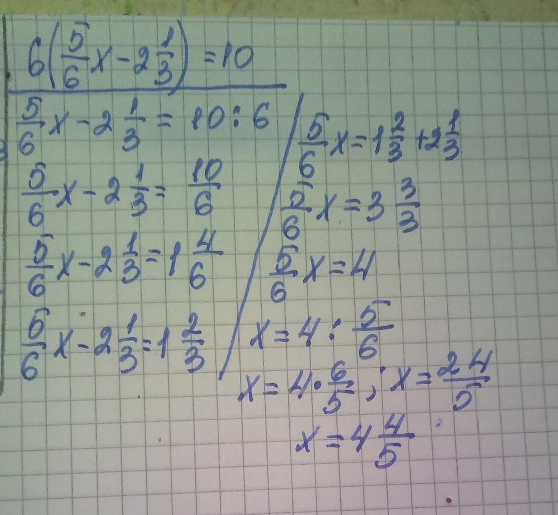
1

Ответ:

решение смотри на фотографии

Приложения:
Автор ответа: vg939073
0

Ответ:

4  \frac{4}{5}

............. ......

Приложения:
Похожие вопросы
Предмет: ОБЖ, автор: Sanekgrekhovodov228
Предмет: Русский язык, автор: karinachabbarova
помогите пожалуйста:
3)Найди ошибку

4) полетел
3)увидит
2)побежал
1) пролестает

4) Найди слово с чередованием в корне

1)вых-дить
2) пол-жить
3) в-дичка
4) ст-рожкка

5) Укажи слово, образованное суффиксальным способом

4)синий
2)школьник
1)порез
3)побелка

6) Укажи слово, образованное сложением новых слов

1)вечерок
4) вагон-ресторан
2)сталевар
3)пароход

7) Не пишется слитно

1)(не) участвовать;
3)сказать (не) правду
2)(не) глубокий, а рыбный пруд
4)(не) хотел

8)Найди грамматическую основу в предложении ЗА НАШЕЙ РЕЧКОЙ НАХОДИЛСЯ ДРЕМУЧИЙ ЛЕС

4)находился за речкой
1) за нашей речкой
2) лес находился
3) дремучий лес

9) Зайди местоимение ЗА НАШЕЙ РЕЧКОЙ НАХОДИЛСЯ ДРЕМУЧИЙ ЛЕС

2) ДРЕМУЧИЙ
4) РЕЧКОЙ
1) ЛЕС
3) НАШЕЙ

10)Каким членом предложения является ДРЕМУЧИЙ( ЗА НАШЕЙ РЕЧКОЙ НАХОДИЛСЯ ДРЕМУЧИЙ ЛЕС)

3)ОПРЕДЕЛЕНИЕ
2) ДОПОЛНЕНИЕ
4) ОБСТОЯТЕЛЬСТВО
1) ПОДЛЕЖАЩЕЕ

11) КАКАЯ ФОРМА У ЧИСЛИТЕЛЬНОГО " ДВУ_ СТ_ СТРАНИЦАМИ"

3) ДУХСОТ
1) ДВУХСТАХ
2) ДВУМСТАМ
4) ДВУМЯСТАМИ

12)НАЙДИ ГЛАГОЛ СОВЕРШЕННОГО ВИДА.( ПОДСКАЗКА: ОТВЕЧАЕТ НА ВОПРОС ЧТО СДЕЛАТЬ?)

4) говорить
2) пролететь
1) читать
3) смотрит