Предмет: Физика,
автор: XDn
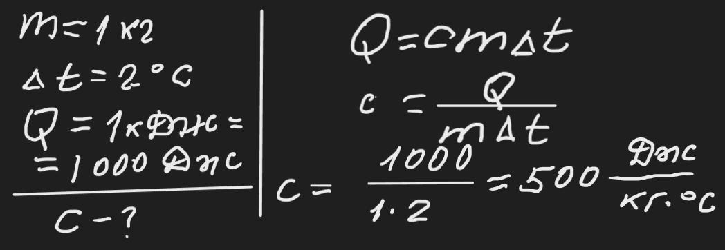
Якою є питома теплоємність речовини, якщо для нагрівання 1 кг цієї речовини на 2 °С потрібна кількість теплоти 1 кДж?
Ответы
Автор ответа:
1
Відповідь: 500 Дж/(кг·⁰С)
Пояснення:
Приложения:
Похожие вопросы
Предмет: Қазақ тiлi,
автор: kirya0411andreev
Предмет: Английский язык,
автор: nurdauin
Предмет: Математика,
автор: ulianochkailnicka65
Предмет: Алгебра,
автор: Alexandra13Gulneva
Предмет: Математика,
автор: Naimarjunior