Предмет: Алгебра,
автор: g1324243w33w33
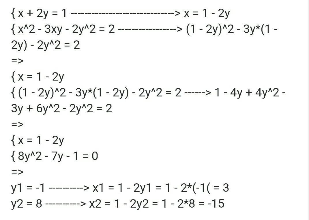
3. РЕШИТЕ СИСТему уравнений: x²-3xy-2xy²=2,
x+2y=1:
Приложения:
Ответы
Автор ответа:
0
Объяснение:
всё на фото..........................
Приложения:
vanyadrynkin:
отправьте пожалуйста 2?в инсту
можете скинуть 2 задание в инсту плиииз?
nurii_ttttt
Похожие вопросы
Предмет: Українська література,
автор: alesazebrov
Предмет: Русский язык,
автор: a5827
Предмет: Литература,
автор: qwqwuu
Предмет: Математика,
автор: filiscoolqwe
Предмет: Математика,
автор: Аноним