Предмет: Алгебра,
автор: psonya538
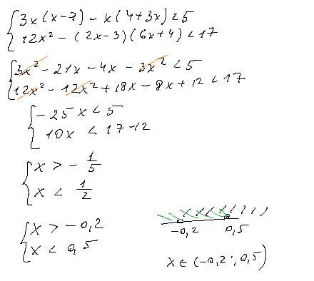
Розв'язати систему нерівностей
Приложения:
Ответы
Автор ответа:
1
Відповідь:
Пояснення:
Приложения:
kimkarina953:
Добрый день. вы не могли бы мне помочь с алгеброй пожалуйста умоляюю
Похожие вопросы
Предмет: Українська мова,
автор: hloria1002
Предмет: Химия,
автор: nioka2
Предмет: Биология,
автор: Аноним
Предмет: Английский язык,
автор: ndhrbdhdh
Предмет: Математика,
автор: OaOaOaOaOaOaOaOaO