Предмет: Математика,
автор: Аноним
помогите пожалуйста!!
Приложения:
Ответы
Автор ответа:
1
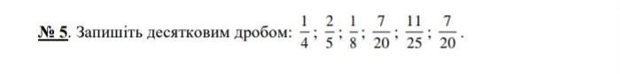
Ответ:
0,25 ; 0,4 ; 0,125; 0,35; 0,44; 0,35
Автор ответа:
1
Відповідь:0,25;0,4;0,125;0,35;0,44;0,35
Покрокове пояснення:
Похожие вопросы
Предмет: Українська література,
автор: sofialutak814
Предмет: Геометрия,
автор: mway3183
Предмет: Химия,
автор: grisamacucko
Предмет: Математика,
автор: Аноним