Предмет: Физика,
автор: powergamergt
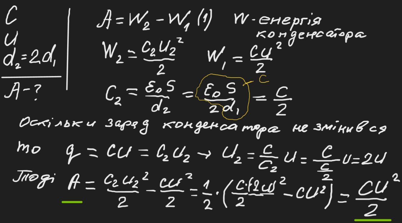
Плоский повітряний конденсатор має електроємність C і заряджений до
напруги U. Яку роботу треба зробити, щоб збільшити відстань між його
обкладками вдвічі?
Ответы
Автор ответа:
2
Відповідь: Див. додаток
Пояснення:
Приложения:
yutyto:
дай мені відповідь на питання в профілі ппжпжпжп\ж
Похожие вопросы
Предмет: Биология,
автор: aapizda
Предмет: Химия,
автор: yanamikheeva80
Предмет: Физика,
автор: umbrellahernandez50
Предмет: Русский язык,
автор: Аноним