Предмет: Математика,
автор: dimodafy
помогите срочно по матеше отдаю все балл те кто фармитт балльі жб кидаю
Приложения:
Ответы
Автор ответа:
0
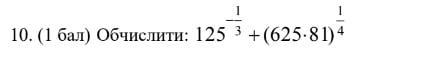
Ответ:
20.
фото////////////////////////
Приложения:
Похожие вопросы
Предмет: Английский язык,
автор: kirilvojtov615
Предмет: Музыка,
автор: margosabirova139
Предмет: География,
автор: anastasiaholodna8
Предмет: Математика,
автор: varyadorofeeva07
Предмет: Математика,
автор: dbobrova2888