Предмет: Математика,
автор: tinochkattt
Помогите срочно пожалуста!!!!!!!
Приложения:
Ответы
Автор ответа:
1
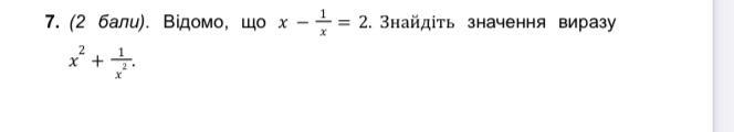
Відповідь: x² + 1/x² = 6 .
Покрокове пояснення:
x - 1/x = 2 ;
( x - 1/x )² = 2² ;
x² - 2 * x * 1/x + ( 1/x )² = 4 ;
x² + 1/x² - 2 = 4 ;
x² + 1/x² = 4 + 2 ;
x² + 1/x² = 6 .
Похожие вопросы
Предмет: Математика,
автор: Jterrolli
Предмет: География,
автор: vfhbz090310
Предмет: Физика,
автор: dolganovegor9
Предмет: Қазақ тiлi,
автор: noob05jgw
Предмет: Геометрия,
автор: nekita944944