Предмет: Алгебра,
автор: idenus308
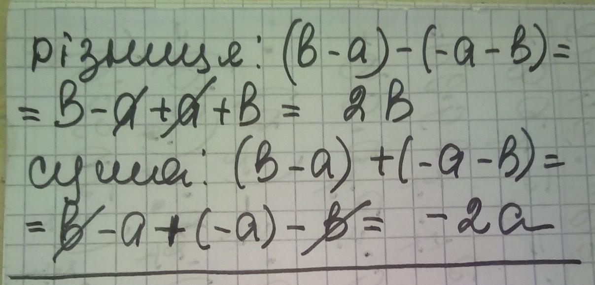
Знайдіть різницю і суму Двочленів b - a і -a - b Срочно!!!!
Ответы
Автор ответа:
1
Ответ:
решение смотри на фотографии
Приложения:
Автор ответа:
0
Объяснение:
(b - a) - (-a - b) = b - a + a + b =
(b + b) + (-a + a) = 2b + 0 = 2b - разница
(b - a) + (-a - b) = b - a - a - b =
(b - b) + (-a - a) = 0 + (-2a) = -2a - сумма
Похожие вопросы
Предмет: Қазақ тiлi,
автор: qnrhdjjififoej
Предмет: Математика,
автор: Dinarakseitova
Предмет: Геометрия,
автор: grudevmaksim2008
Предмет: Биология,
автор: YarikKasl2017