Предмет: Математика,
автор: Аноним
ДАЮ 100 БАЛІВ ПЖПЖПЖП
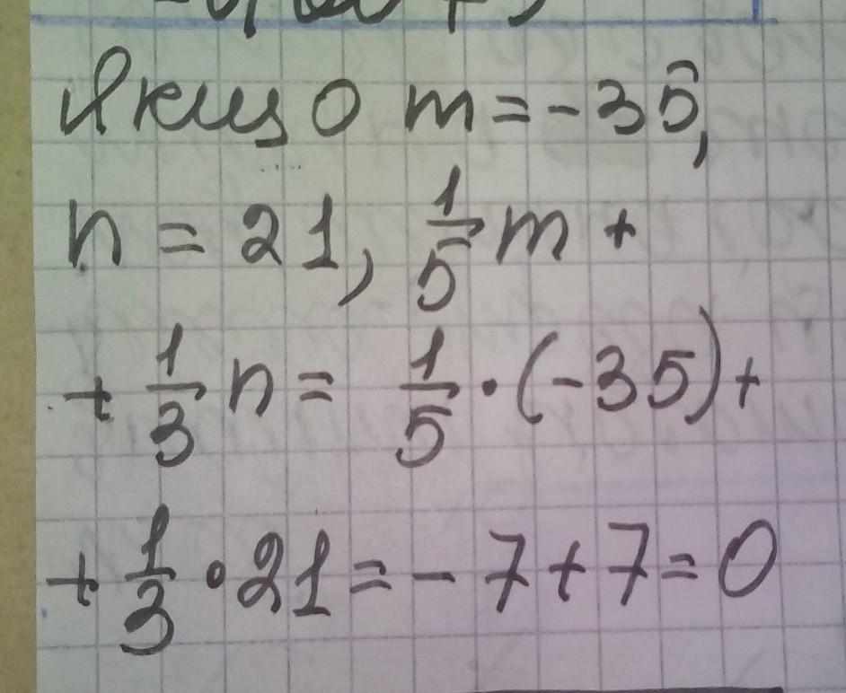
Знайдіть значення виразу 1/5m + 1/3n, якщо m=-35, n=21
з ПоЯСНИНЯМ
Приложения:
Ответы
Автор ответа:
16
Ответ:
решение смотри на фотографии
Приложения:
shigibaevams:
не правильно
Автор ответа:
11
Ответ:
0
Пошаговое объяснение:
.................................
Приложения:
это какои вообще класс
я не понимаю
я 4з класс
Похожие вопросы
Предмет: Математика,
автор: alevtinagugasari
Предмет: Английский язык,
автор: adamovichvicka
Предмет: Математика,
автор: rachok2011yaroslav
Предмет: Русский язык,
автор: erzhanminov
Предмет: Окружающий мир,
автор: okfgogkeofekof