Предмет: Геометрия,
автор: cernenkoegor73
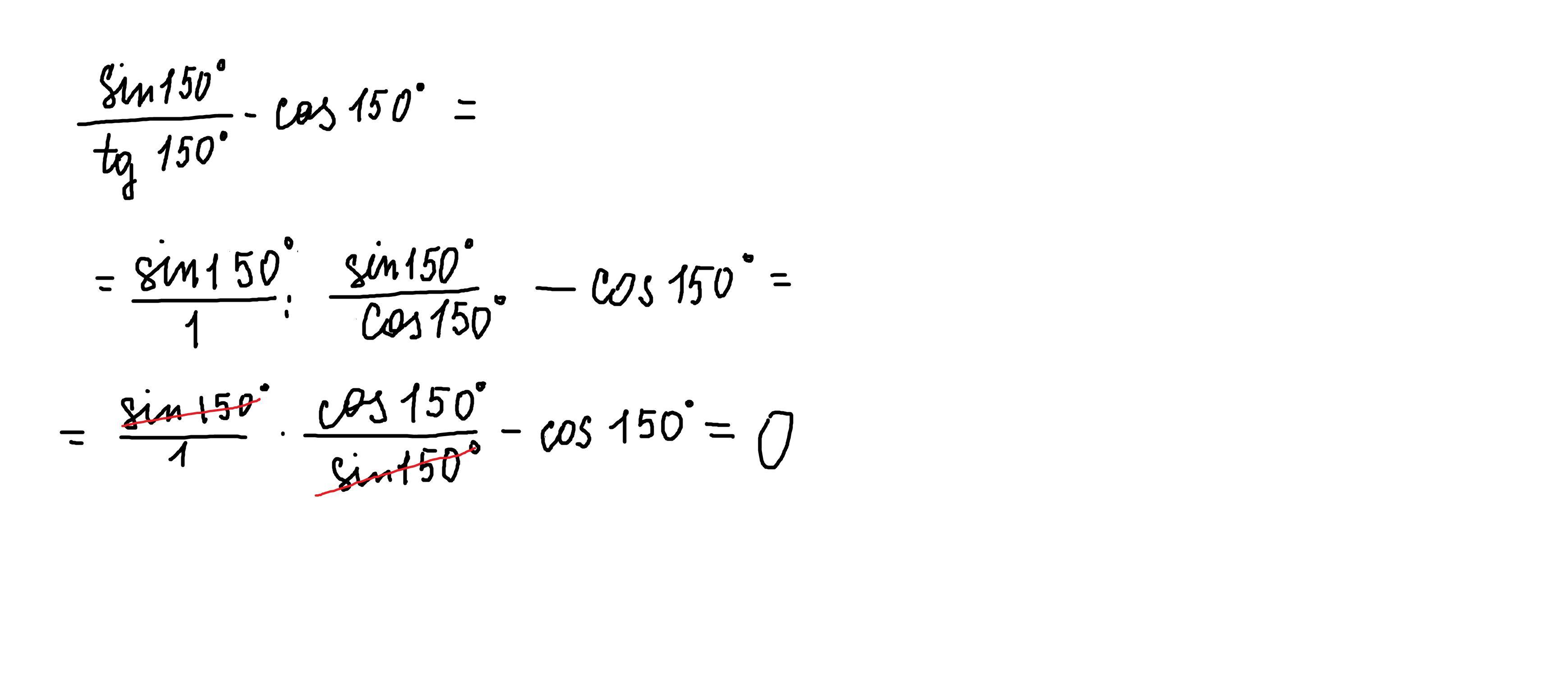
знайдіть значення виразу
Приложения:
Ответы
Автор ответа:
1
Ответ:
0
Объяснение:
решение внизу
Приложения:
Похожие вопросы
Предмет: Математика,
автор: rachok2011yaroslav
Предмет: Русский язык,
автор: m83166409
Предмет: Биология,
автор: froyzen5432
Предмет: Математика,
автор: hizbullindanil
Предмет: Другие предметы,
автор: 689964