Предмет: Алгебра,
автор: staffqq681
ДАЮ 50 БАЛЛОВ!!Даю 50 баллов!!!
Приложения:
Ответы
Автор ответа:
0
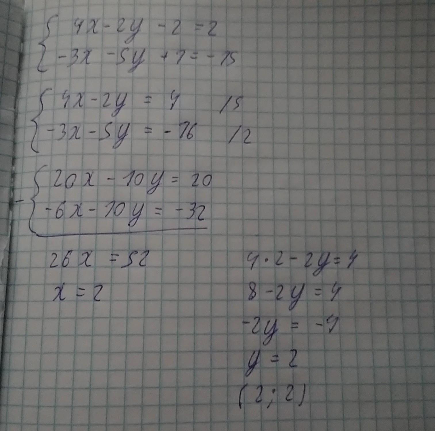
Ответ:
Решение на фотографии.
Приложения:
Похожие вопросы
Предмет: Литература,
автор: ledydianochka2012
Предмет: Литература,
автор: lezyuk
Предмет: Литература,
автор: arturkobilinskij
Предмет: История,
автор: dianauzun2006
Предмет: География,
автор: shpinenkoelia