Предмет: Алгебра,
автор: savcukdenis68fsdf
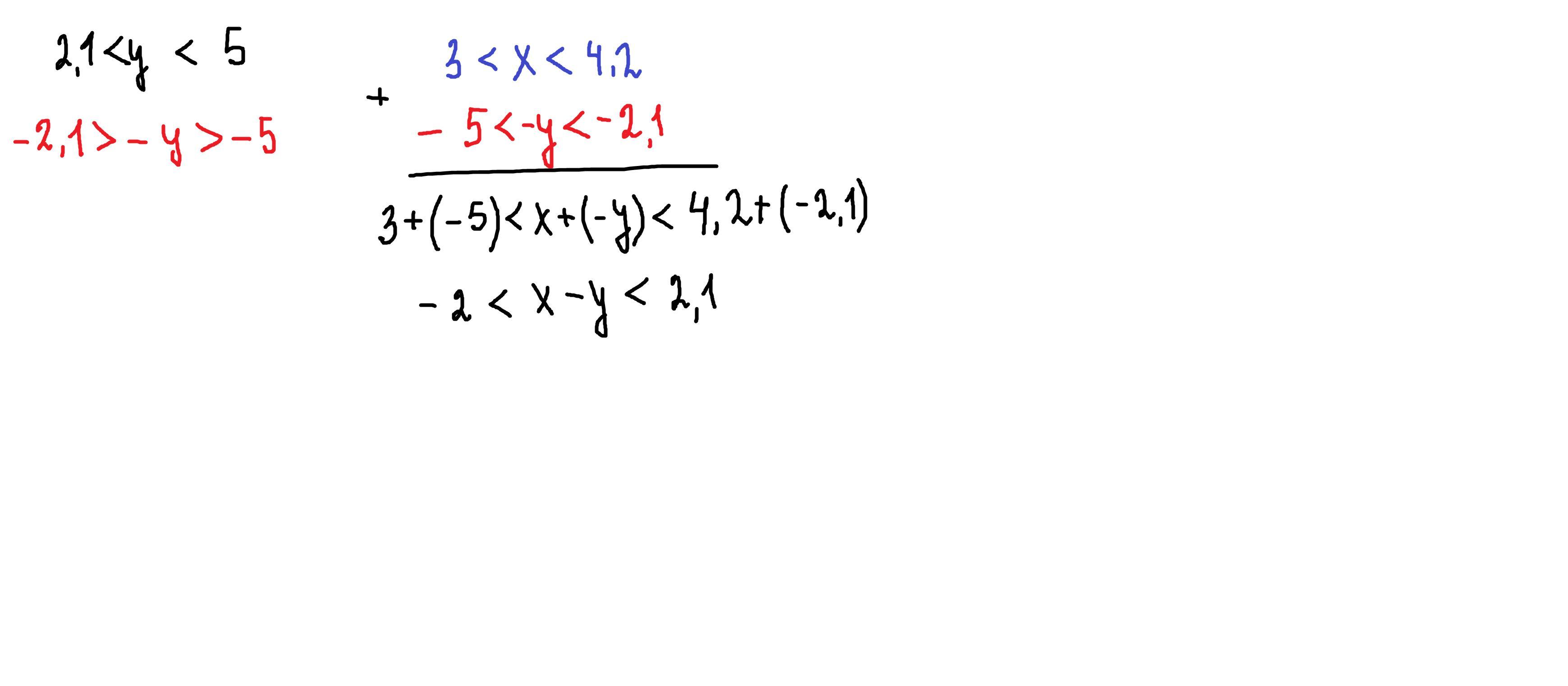
2. Відомо, що 3 < x < 4,2, та 2,1 < у < 5. Оцініть значення виразу х - у. A) 7,2 < x-y < 8,3; Б) 6,1 < x - y < 8,2; B) -0,8
Ответы
Автор ответа:
1
Ответ:
Объяснение:
что то мой ответ не совпадает ни с одним из ваших.может где то ошибка в условии.
при умножении на -1 знак неравенства изменится на противоположные,поэтому -2,1> -y > -5 или -5<-y< -2,1
Приложения:
Похожие вопросы
Предмет: История,
автор: legendary3883
Предмет: История,
автор: qildarklip07
Предмет: История,
автор: shmelevaksenia908
Предмет: Химия,
автор: snailobzor
Предмет: Русский язык,
автор: Аноним