Предмет: Математика, автор: bovsvsgirls

Сравните ПОЖАЛУЙСТА СРОЧНО НАДО!!​

Приложения:

Ответы

Автор ответа: Daler76
1

Ответ:

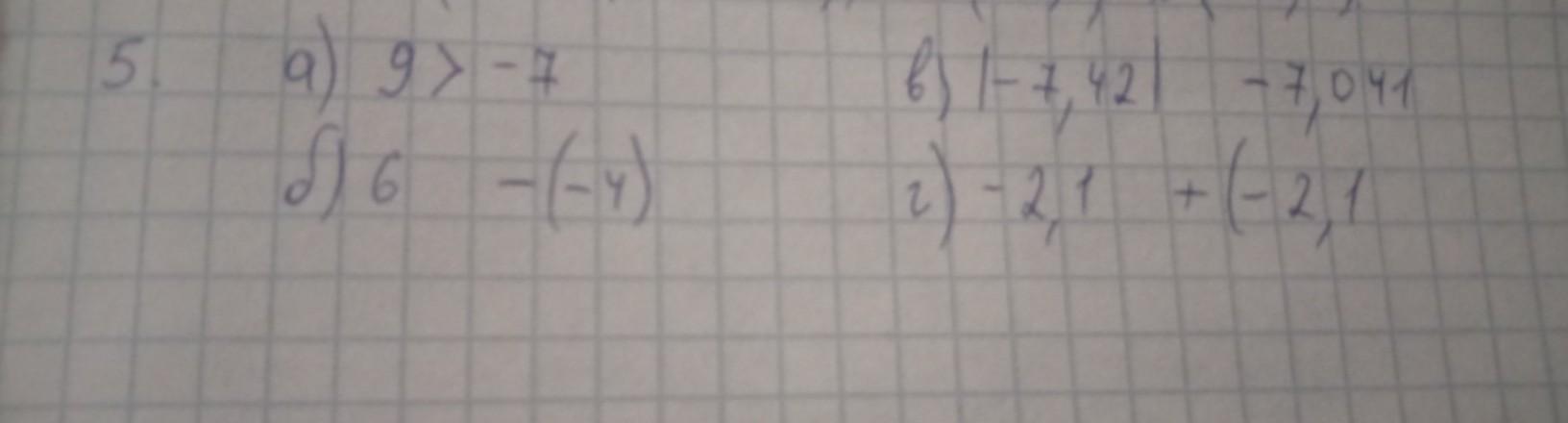
6> -(-4)

в) |-7,42| > -7,041

-2,1 = +(-2,1)


bovsvsgirls: Спасибо большое!
Daler76: Незачто
Похожие вопросы
Предмет: История, автор: pibaa778
Помогите очень срочно

Скласти історичний портрет одного з правителів Кримського ханства або князівства Феодоро за пам'яткою на ваш вибір.
1. Як відбувалося становлення особистості історичного діяча?
1.1. Де і коли він народився?
1.2. Де і в яких умовах жив, зростав, виховувався?
1.3. Як формувалися його погляди?
2. Особисті якості й риси характеру.
2.1. Як особисті якості діяча впливали на його діяльність?
2.2. Які з його особистих якостей вам подобаються, а які ні?
3. Діяльність історичного діяча.
3.1. Схарактеризуйте основні справи його життя.
3.2. Які успіхи й невдачі були в його справах?
3.3. Які верстви населення підтримували його діяльність, а які ні, і чому?
3.4. Хто був його друзями, а хто ворогами, і чому?
3.5. Якими були наслідки його діяльності: а) для сучасників; б) для нащадків.
3.6. За що людство пам'ятає цю людину?
4. Яке ваше особисте ставлення до історичного діяча?
4.1. Які почуття викликає у вас його діяльність?
4.2. Як ви ставитеся до засобів і методів його діяльності? Обґрунтуйте свою позицію.
Предмет: Геометрия, автор: timurtimosuk6