Предмет: Алгебра,
автор: thesissygrey
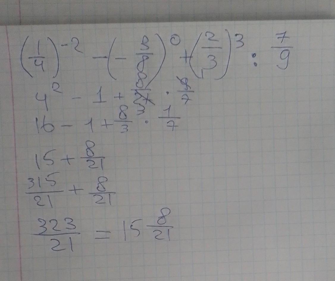
вычислите: (1/4)^-2-(-3/8)^0+(2/3)^3:7/9
Приложения:
Ответы
Автор ответа:
6
Ответ:
15 8/21
Объяснение:
все написано на фото⏫
Приложения:
thesissygrey:
спасибо большое, учительница сказала все верно
Если не сложно нажмите на лучший ответ)
пока не получается нажать, позже обязательно нажму
удачи
Похожие вопросы
Предмет: Английский язык,
автор: ArtBut
Предмет: Математика,
автор: Drakonchek282
Предмет: Биология,
автор: Igfwn
Предмет: Русский язык,
автор: tie0lemon
Предмет: Русский язык,
автор: kiriput