Предмет: Математика,
автор: 7300092
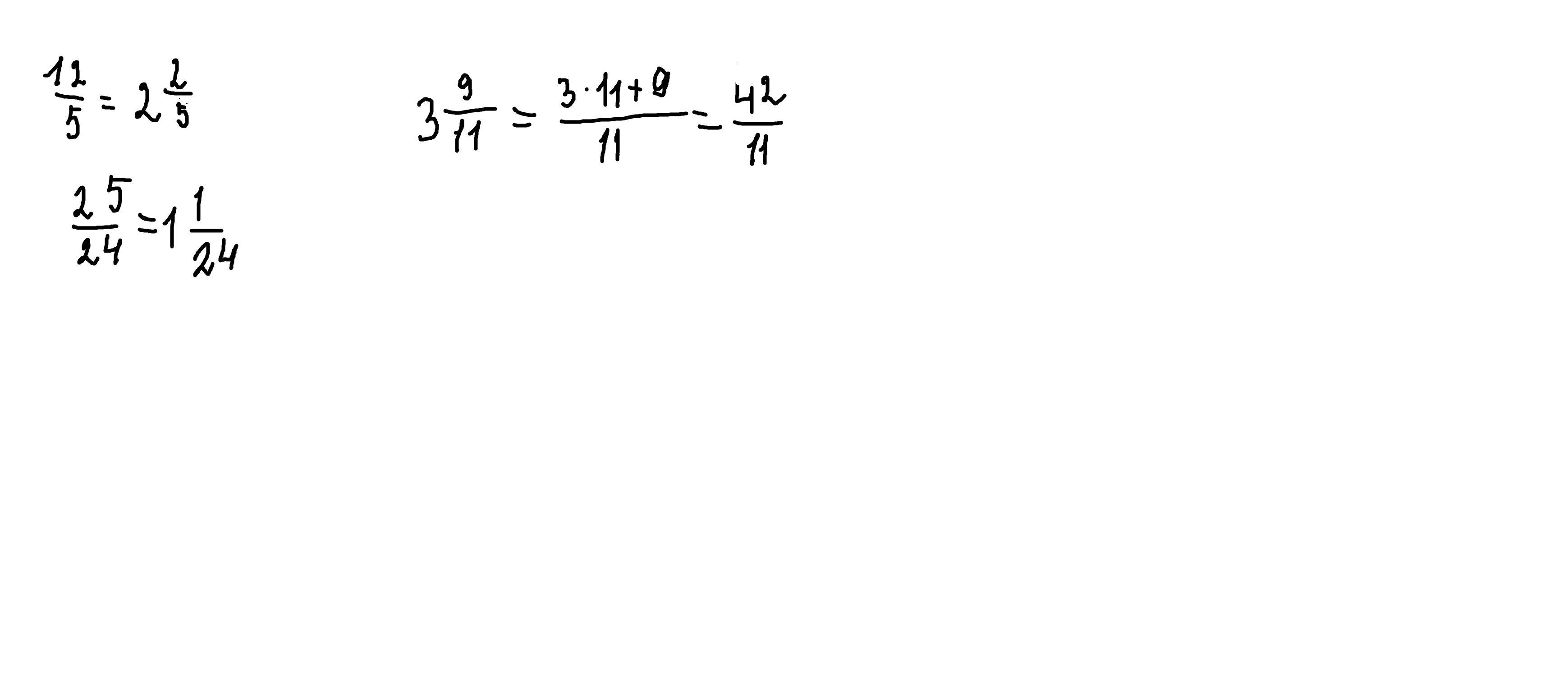
преобразуйте смешанные числа в неправильные дроби а неправильные дроби в смешанные числа - 12/5 , 2 /12 , 25/24 , 3 9/11
Ответы
Автор ответа:
0
2 пример ты походу не дописал
Приложения:
Автор ответа:
0
Ответ:
Пошаговое объяснение:
внизу ответ
Приложения:
Похожие вопросы
Предмет: Геометрия,
автор: kateskxkatesks
Предмет: Русский язык,
автор: samsungqusar66291
Предмет: Английский язык,
автор: FSDCDSTF
Предмет: Математика,
автор: dizikchannel08
Предмет: Математика,
автор: Аноним