Предмет: Алгебра,
автор: alinakachor82
Поможіть будь ласка будь ласка
Приложения:
Ответы
Автор ответа:
1
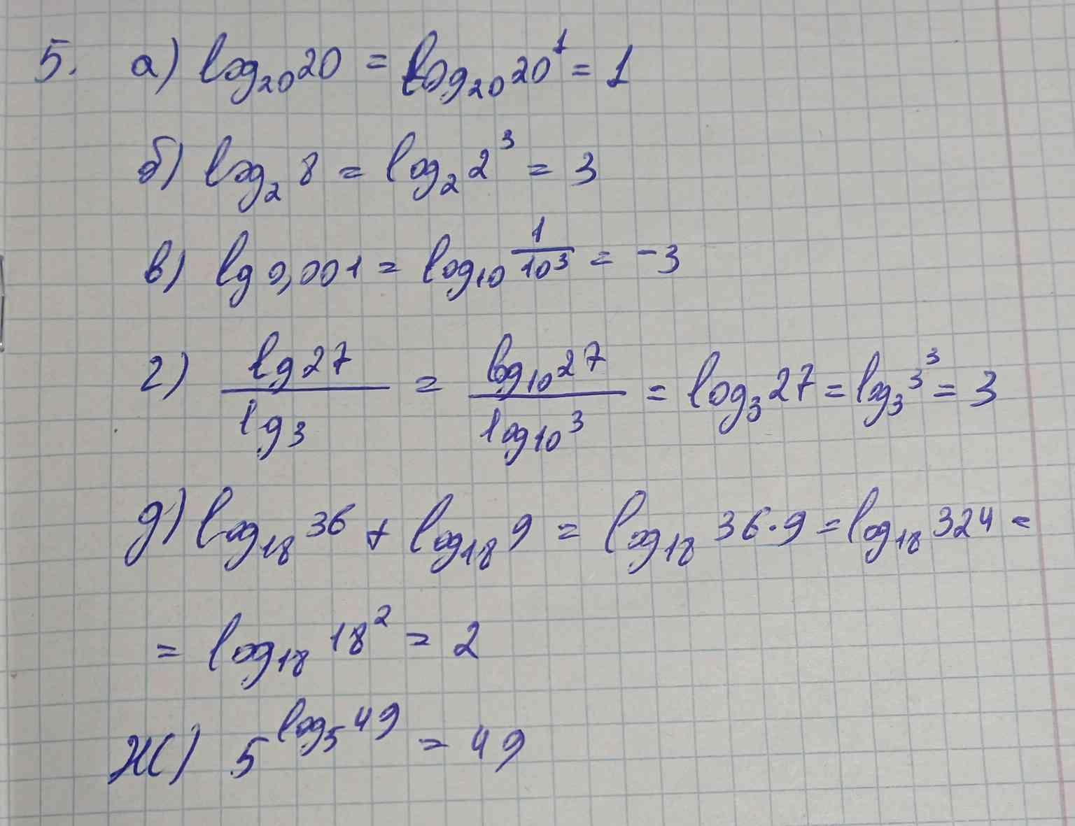
Ответ: а) 1
б) 3
в) -3
г) 3
д) 2
ж) 49
Дивись на фото ♥
Объяснение:
Приложения:
Похожие вопросы
Предмет: Математика,
автор: maxbubajuraqulova64
Предмет: Геометрия,
автор: Аноним
Предмет: Русский язык,
автор: akaunttt68
Предмет: Литература,
автор: lagareva796