Предмет: Физика,
автор: mortonzxv
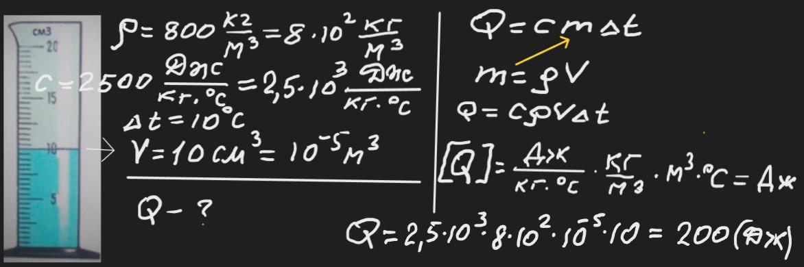
У мірному циліндрі міститься спирт. Скориставшись
рисунком, розрахуйте кількість теплоти, яку треба надати
спирту, щоб нагріти його на 20 °С. Густина спирту 800 кг/
м^3, питома теплоємність спирту 2500 Дж/(кг·°C).
*У відповіді вказати кінцеву формулу, результат
обчислення з одиницями вимірювання.
срочно дам 70 балов
Приложения:
Ответы
Автор ответа:
1
Відповідь: 200 Дж
Пояснення:
Приложения:
Похожие вопросы
Предмет: Математика,
автор: adelabsydygalieva1
Предмет: Биология,
автор: anime2024
Предмет: Литература,
автор: supsasa76
Предмет: Русский язык,
автор: nika082nk
Предмет: Русский язык,
автор: alisarozduhova194