Предмет: Математика,
автор: blackjack2720
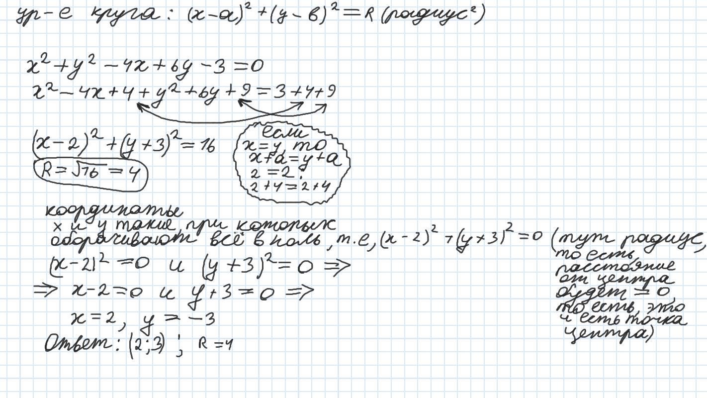
Найти кординаты центра и радиус круга заданого уровнением X^2 + y^2- 4x + 6y-3=0
blackjack2720:
Если что x^2 и y^2 2 это степень
Ответы
Автор ответа:
1
Надеюсь, понятно расписал, решения там на пять строчек
Приложения:
Спасибо,а можешь помочь еще с одним вопросом моим пожалуйста
Сделать уровнение прямой которая проходит через точки K(3;-5) C(-2;-8)
Сделать уровнение прямой которая проходит через точки K(3;-5) C(-2;-8)
dx = -2-3 = -5, dy = -8-(-5) = -3, -3x = -5y, y = 0.6x - 6.8
Похожие вопросы
Предмет: Математика,
автор: aminicka
Предмет: Математика,
автор: kravchuksofiallll
Предмет: Математика,
автор: quucat
Предмет: Биология,
автор: JJHSJXJ
Предмет: Английский язык,
автор: blueface61