Предмет: Математика,
автор: daryahilmi
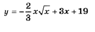
помогите найти производную функции пжл!
Приложения:
Ответы
Автор ответа:
0
у = -
х√х + 3х + 19
у' = (-
х√х + 3х + 19)' = -
*
√x + 3 = -√x + 3
у' = (-
Похожие вопросы
Предмет: Химия,
автор: sanchezko75
Предмет: Русский язык,
автор: polinanevejkina3684
Предмет: Математика,
автор: 8899sergey9988
Предмет: Алгебра,
автор: anastasiyacepen
Предмет: География,
автор: Омномном2012